Contoh Soal Latihan CPNS (TIU) Lengkap dengan Pembahasan

Latihan soal simulasi TIU CPNS 2026 terbaru lengkap dengan pembahasan untuk membantu kamu lolos seleksi CPNS tahun ini!
—
Sedang mempersiapkan diri untuk seleksi CPNS 2026? Salah satu tahapan yang menentukan kelulusanmu adalah Tes Intelegensia Umum (TIU). Tes ini dirancang untuk menguji kemampuan verbal, numerik, dan figural para calon abdi negara.
Supaya peluang lolos passing grade makin besar, kamu butuh latihan soal yang sesuai dengan pola kisi-kisi terbaru. Di artikel ini, kamu akan menemukan contoh soal simulasi TIU CPNS 2026, lengkap dengan pembahasan mendalam yang akan membantumu menguasai trik menjawab dengan cepat.
Mengingat tingginya animo pendaftar, seleksi CPNS 2026 diprediksi akan menjadi kompetisi yang sangat ketat nih, guys. Jadi, sebaiknya kamu mulai mempersiapkan diri sejak dini dengan mengasah kemampuan logika. Latihan soal secara rutin juga akan membantumu lebih peka dalam mengenali pola dan menghindari jebakan yang sering muncul dalam ujian.
Sebenarnya, apa sih TIU itu dan apa saja yang diujikan? Yuk, kita bahas dulu sebelum latihan soalnya!
Baca Juga: Prediksi Formasi CPNS 2026, Siapkan Dirimu dari Sekarang!
Untuk bantu persiapanmu menghadapi CPNS 2026, kamu bisa ikut program pelatihan dari Skill Academy by Ruangguru. Materinya dirancang khusus mengikuti format terbaru SKD, lengkap dengan latihan soal TIU, TWK, dan TKP beserta pembahasan detailnya. Yuk, konsultasi seputar Bimbel CASN dengan klik banner di bawah ini, ya!
Apa Itu Tes Intelegensia Umum (TIU) CPNS?
TIU adalah bagian dari SKD (Seleksi Kompetensi Dasar) yang mengukur kemampuan logika, analisis, numerik, dan verbal kamu.
Tes ini digunakan dalam seleksi CPNS yang dikelola oleh Badan Kepegawaian Negara untuk melihat apakah peserta punya kemampuan dasar berpikir yang dibutuhkan sebagai ASN. Tes ini bertujuan untuk menilai tiga kemampuan utama:
- Kemampuan Verbal: Analogi, silogisme, dan analitis.
- Kemampuan Numerik: Berhitung cepat, deret angka, perbandingan kuantitatif, dan soal cerita.
- Kemampuan Figural: Analogi gambar, ketidaksamaan gambar, dan serial gambar.
Setelah tahu apa saja yang diujikan dalam TIU, sekarang saatnya masuk ke bagian yang paling penting yaitu latihan soal. Semakin sering kamu berhadapan dengan soal, semakin cepat otakmu membaca pola dan menemukan jawabannya. Yuk, kita mulai latihan soal TIU CPNS 2026 di bawah ini!
Baca Juga: Kesalahan Umum saat Tes SKD dan Testimoni Peserta yang Berhasil Lolos
Contoh Soal TIU CPNS dan Pembahasan
Soal 1
Topik: Kemampuan Numerik
Subtopik: Kemampuan Berhitung Cepat
Hasil dari 20272 – 20262 adalah ….
A. 1
B. 2.027
C. 4.052
D. 4.053
E. 8.106
Jawaban: D
Pembahasan:
Cara biasa
20272 – 20262=(2.0272.027)-(2.0262.026)
20272 – 20262=4.108.729-4.104.676
20272 – 20262=4.053
Cara cepat
20272 – 20262= …
Ingat!
a2-b2 =(a-b)(a+b)
20272 – 20262= (2.027-2.026)(2.027+2.026)
20272 – 20262= (1)(4.053)
20272 – 20262= 4.053
Jadi, jawaban yang tepat adalah D.
Soal 2
Topik: Kemampuan Numerik
Subtopik: Deret Angka (pola lainnya)
QU-1ISV4BF4
Bilangan yang tepat untuk melanjutkan deret -5,-3, 1, 7, … adalah ….
A. 8
B. 9
C. 13
D. 15
E. 17
Jawaban: D
Pembahasan:
Perhatikan selisih antar angkanya:
-5 ke -3 = +2
-3 ke 1 = +4
1 ke 7 = +6
Terlihat polanya bertambah dengan bilangan genap berurutan: +2, +4, +6, sehingga selanjutnya adalah +8.
Maka:
7 + 8 = 15
Jadi, jawaban yang tepat adalah D.
Soal 3
Topik: Kemampuan Numerik
Subtopik: Perbandingan Kuantitatif (Bilangan)
Suatu pekerjaan dapat diselesaikan oleh 6 orang dalam 12 hari. Jika pekerjaan tersebut ingin diselesaikan dalam 8 hari, jumlah pekerja yang dibutuhkan adalah ….
A. 4 orang
B. 8 orang
C. 9 orang
D. 10 orang
E. 12 orang
Jawaban: C
Pembahasan:
Cara 1
Jumlah orang (1) hari pengerjaan (1) = Jumlah orang (2) hari pengerjaan (2)
612=y 8
y=728=9
Cara 2
Perbandingan berbalik nilai
jumlah orang(1)jumlah orang (2)=hari pengerjaan (2)hari pengerjaan (1)
6x=812
x=1268=9
Jadi, jawaban yang tepat adalah C.
Soal 4
Topik: Kemampuan Numerik
Subtopik: Kemampuan Berhitung Cepat
Hasil dari 9.999 x 10.001 adalah ….
A. 19.998
B. 9.999.001
C. 99.990.001
D. 99.999.999
E. 100.000.000
Jawaban: D
Pembahasan:
Soal ini merupakan perkalian 9.999 x 10.001.
Gunakan trik selisih kuadrat:
(10.000 − 1)(10.000 + 1) = 10.000² − 1²
= 100.000.000 − 1
= 99.999.999
Jadi, jawaban yang tepat adalah D.
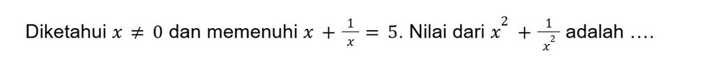
Soal 5
Topik: Kemampuan Numerik
Subtopik: Aljabar (Pemodelan Matematika)
![]()
A. 21
B. 23
C. 24
D. 25
E. 27
Jawaban: B
Pembahasan:

Jadi, jawaban yang tepat adalah B.
Soal 6
Topik: Kemampuan Verbal
Subtopik: Kalimat Berkuantor
Perhatikan informasi berikut:
- Semua pelanggan yang membeli paket premium mendapatkan layanan prioritas.
- Beberapa karyawan membeli paket premium.
Berdasarkan informasi tersebut, simpulan yang paling tepat adalah ….
A. Semua karyawan mendapatkan layanan prioritas.
B. Beberapa karyawan mendapatkan layanan prioritas.
C. Tidak ada karyawan yang mendapatkan layanan prioritas.
D. Beberapa karyawan yang membeli paket premium tidak mendapatkan layanan prioritas.
E. Tidak ada simpulan yang tepat.
Jawaban: B
Pembahasan:
Dari soal:
- Semua pembeli paket premium → dapat layanan prioritas.
- Beberapa karyawan membeli paket premium.
Artinya: karyawan yang membeli paket premium pasti termasuk yang dapat layanan prioritas.
Dengan demikian, pasti ada beberapa karyawan yang mendapatkan layanan prioritas.
Jadi, jawaban yang tepat adalah B, “Beberapa karyawan mendapatkan layanan prioritas”.
Soal 7
Topik: Kemampuan Figural
Subtopik: Serial Gambar
QU-JZDE2Y6E
Gambar yang tidak sesuai pola adalah ….

Jawaban: D
Gambar yang tidak sesuai dengan pola adalah pilihan D. Gambar pilihan D bukan hasil perputaran dari gambar A, B, C, dan E.
Jadi, jawaban yang tepat adalah D.
Soal 8
Topik: Kemampuan Verbal
Subtopik: Penarikan Kesimpulan: Modus Ponens
Jika Andi sakit, maka ia pergi ke rumah sakit.
Andi pergi ke rumah sakit.
Simpulan yang tepat dari pernyataan tersebut adalah …
A. Andi sakit.
B. Andi tidak sakit.
C. Andi tidak sakit atau ia pergi ke rumah sakit.
D. Jika Andi tidak ke rumah sakit, maka ia tidak sakit.
E. Tidak ada simpulan yang tepat.
Jawaban: E
Pembahasan:
Jika P benar, maka Q benar.
Namun, jika Q benar, maka P belum tentu benar.
Oleh karena itu, belum tentu Andi pergi ke rumah sakit karena ia sakit. Bisa jadi Andi pergi ke rumah sakit karena menjenguk orang lain, bekerja di sana, atau melakukan hal lain yang tidak diketahui dalam premis di soal.
Dengan demikian, jawaban yang tepat adalah E.
Soal 9
Topik: Kemampuan Figural
Subtopik: Serial Gambar
Perhatikan gambar berikut!

Hasil refleksi gambar tersebut terhadap sumbu x yang tepat adalah ….

Jawaban: E
Jika dicerminkan terhadap sumbu x, hasil refleksi yang tepat adalah gambar E.
Soal 10
Topik: Kemampuan Verbal
Subtopik: Penalaran Analitis
Perhatikan informasi berikut:
Kemarin bukan hari Senin, Rabu, atau Jumat.
Besok bukan hari Selasa maupun Kamis.
Lusa bukan hari Minggu.
Hari ini adalah hari ….
A. Selasa
B. Kamis
C. Jumat
D. Sabtu
E. Minggu
Jawaban: E
Kemarin bukan hari Senin, Rabu, atau Jumat
⇒ hari ini bukan Selasa, Kamis, Sabtu
⇒ hari ini kemungkinan Senin, Rabu, Jumat, Minggu
Besok bukan hari Selasa maupun Kamis
⇒ hari ini bukan Senin atau Rabu
⇒ hari ini kemungkinan Jumat atau Minggu
Lusa bukan hari Minggu
⇒ hari ini bukan Jumat
⇒ hari ini adalah Minggu
Jadi, jawaban yang tepat adalah E.
—
Sudah siap menaklukkan TIU CPNS 2026? Yuk, terus asah kemampuanmu dengan latihan soal yang rutin supaya makin cepat membaca pola dan makin percaya diri saat tes nanti.
Jika butuh bimbingan lebih lanjut, kamu juga bisa konsultasi dan belajar bareng di Bimbel CASN by Skill Academy. Dapatkan materi lengkap, tryout sesuai format terbaru, serta tips dan trik dari mentor berpengalaman agar peluang lolosmu makin besar.
Jangan sampai ketinggalan, mulai langkah terbaikmu menuju karier impian CPNS!




